实验实训中心
首页
新闻中心
工作动态
通知公告
部门概况
组织架构
部门领导
机构设置
教学实验室
护理系
基础医学部
康复系
食品药品系
医学技术系
公共文化部
思政部
设备资产
护理系
康养系
食品药品系
医学技术系
基础医学部
公共文化部
实验室安全
办事指南
各类办事流程
规章制度
教学动态
产教融合
科研信息
实验室安全管理
设备管理
设备进口管理
处内管理制度
文化天地
党建引领
学习园地
下载中心
各类文档下载
首页
新闻中心
工作动态
通知公告
部门概况
组织架构
部门领导
机构设置
教学实验室
护理系
基础医学部
康复系
食品药品系
医学技术系
公共文化部
思政部
设备资产
护理系
康养系
食品药品系
医学技术系
基础医学部
公共文化部
实验室安全
办事指南
各类办事流程
规章制度
教学动态
产教融合
科研信息
实验室安全管理
设备管理
设备进口管理
处内管理制度
文化天地
党建引领
学习园地
下载中心
各类文档下载
首页
新闻中心
工作动态
通知公告
工作动态
当前位置:
首页
>>
工作动态
>> 正文
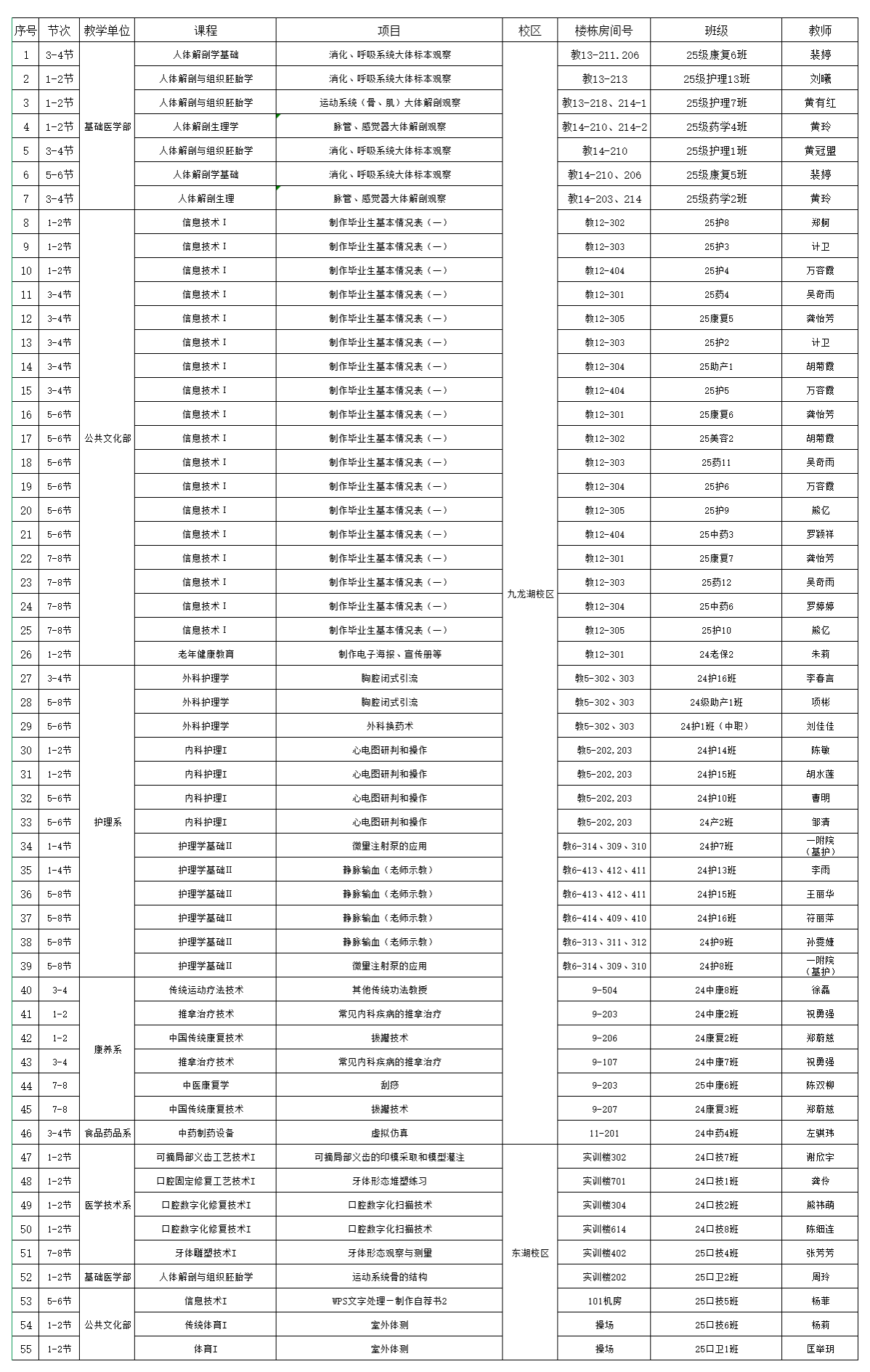
2025年11月13日实训开设计划
发布时间:2025年11月13日
来源:
作者:
上一条:2025年11月14日实训开设计划
下一条:2025年11月12日实训开设计划